item2vec
目录
原理
item2item(itemCF):基于用户喜爱的item来寻找相似的item推荐给用户
user2item(UserCF,LFM,personal rank):基于用户(喜好、历史行为等)计算出item列表推荐给用户
背景:
- item2item效果不错,所以给用户推荐其行为过item的相似item是可行的
- 神经网络具有更好的特征抽象能力
物理意义:
- 将用户的行为序列转化成item组成的句子
- 模仿word2vec训练word embedding将item embedding
- 故word2vec训练的结果是word之间的距离,而item2vec训练出来的结果就是item之间的距离(或相似性)
缺点:
- 用户的行为序列时序性丢失:用户对item的行为顺序体现不出来
- 用户行为序列中的item强度是无区分性的:用户的喜爱程度体现不出,如对一个视频观看了10分钟, 对另一个视频观看了30分钟是体现不出来的,只能知道用户点击了这两个视频
算法流程:
- 从log中抽取用户行为序列
- 将行为序列当成语料训练word2vec得到item embedding
- 等到item的相似关系用于推荐
word2vec
链接 https://bingdong.site/2020/03/word2vec/
item2vec
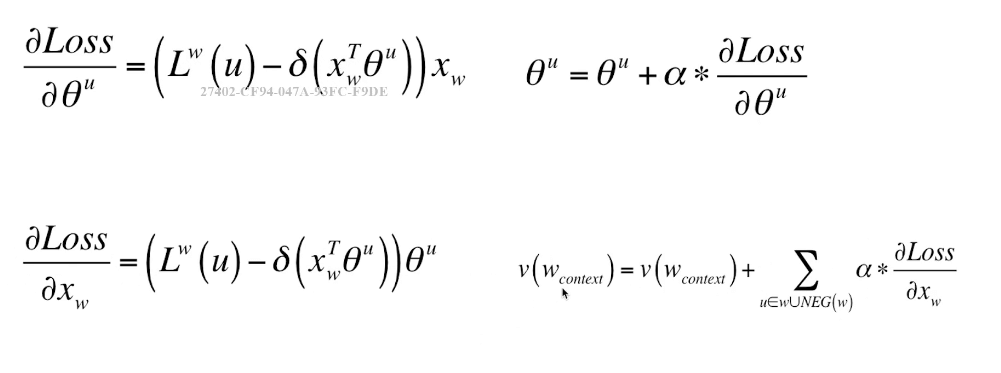
CBOW:



- 选取中心词w以及负采样出NEG(w)
- 分别获得损失函数对于$x_w$与$θ^u$的梯度
- 更新$θ^u$以及中心词对应的context(w)的每一个词的词向量
Skip Gram:


- 对context(w)中任何一个词$w^c$,选取词w的正负样本
- 计算Loss对θ以及对$w^c$的偏导
- 更新$w^c$对应的词向量
负采样:

import os
import numpy as np
def produce_train_data(input_file, out_file):
if not os.path.exists(input_file):
return
record = {}
score_thr = 4.0
with open(input_file, 'r') as f:
next(f)
for line in f:
item = line.strip().split(',')
if len(item) < 4:
continue
userid, itemid, rating = item[0], item[1], float(item[2])
if rating < score_thr:
continue
if userid not in record:
record[userid] = []
record[userid].append(itemid)
with open(out_file, 'w') as f:
for userid in record:
f.write(" ".join(record[userid]) + "\n")
# 加载训练生成的word2vec文件
def load_item_vec(input_file):
if not os.path.exists(input_file):
return
item_vec = {}
with open(input_file, 'r') as f:
next(f)
for line in f:
item = line.strip().split()
# 词向量维数为128
if len(item) < 129:
continue
itemid = item[0]
if itemid == "</s>":
continue
item_vec[itemid] = np.array([float(ele) for ele in item[1:]])
return item_vec
def produce_item_sim():
pass
if __name__ == "__main__":
produce_train_data("D:/document/Python/ml-latest-small/ratings.csv", "D:/document/Python/ml-latest-small/data.txt")
# 通过word2vec对输入的data.txt进行训练得到词向量
# 代码下载链接:https://code.google.com/archive/p/word2vec/source/default/source
# 获得相似度矩阵
produce_item_sim()